How to Start an LLC in Alabama (2026 Guide)
Wondering how to start an LLC in Alabama? We’ve got you covered.
To get started, you’ll need to pick a suitable business name, choose a registered agent, and file your Certificate of Formation with the Alabama Secretary of State. The cost to form an LLC in Alabama is $200.
You can do this independently, consult with a business attorney for specialized legal guidance, or join the other 65% of our readers and hire a specialized Alabama LLC formation service (recommended).
How to Form an LLC in Alabama in 6 Steps
In order to form your LLC in Alabama, there are certain steps you’ll need to complete:
- Name Your LLC
- Choose an Alabama Registered Agent
- File Your Certificate of Formation
- Create an LLC Operating Agreement
- Obtain an EIN
- File Initial Business Privilege Tax
Alabama LLC Launchpad
Name Your Alabama LLC
The first step is checking if your business name is available.
Step 1: Name Your Alabama LLC
Before you get started, you will need to pick a suitable name for your Alabama LLC.
This will need to comply with all applicable naming requirements under Alabama law and be both succinct and memorable, as this will make it easily searchable by your potential clients.
1. Important Naming Guidelines for Alabama LLCs:
- Your name must include the phrase “limited liability company” or one of its abbreviations (LLC or L.L.C.).
- Your LLC’s business entity name cannot contain words that could lead to confusion between your business and a government agency (e.g., FBI, Treasury, State Department, etc.).
- Certain words — such as “Bank,” “Attorney,” and “University” — are restricted, meaning that your LLC may need to obtain specific paperwork, as well as hire a licensed individual, in order to include them.
- Your name must be sufficiently distinguishable from any other Alabama limited liability company, corporation, limited partnership, or registered limited liability partnership.
For more information, see the Alabama Code guidelines for naming LLCs.
2. Conduct a Business Name Search in Alabama
To check whether your desired name has already been taken by another business entity in Alabama, you can elect to perform a Business Entity Search on the Alabama Secretary of State’s website.
For more information, you can have a look at our Alabama LLC Name Search guide.
3. Reserve Your LLC’s Name
If you plan to mail in your LLC registration, you will need to complete the Name Reservation Request for Domestic Entities form at least two weeks prior to registration.
If you plan to start your LLC online, you will reserve your business name automatically when you complete your LLC’s registration.
Keep in mind that even if you don’t plan on registering your LLC right away, it might be a good idea to reserve your LLC name online for up to one year ($25 processing fee).
4. Conduct a Domain Name Search
We recommend that you check online to see if your business name is available as a web domain. Even if you don’t plan to make a business website right away, this is an extremely important step as it will prevent others from acquiring it, potentially saving you both time and money in the long term.
Once you have verified your name is available, you may now select a professional service to complete the LLC formation process for you.
FAQ: Naming an Alabama LLC
LLC is short for limited liability company. It is a simple business structure that offers more flexibility than a traditional corporation while still providing legal protection for your personal assets.
An LLC is one of several business structures, such as a sole proprietorship, partnership, and corporation (which includes C corp and S corp). For more information, read our What is an LLC guide or watch our two-minute video: What is an LLC?
Most LLCs do not need a doing business as (DBA) name. The name of the LLC can serve as your company’s brand name and you can accept checks and other payments under that name as well. However, you may wish to register a DBA if you would like to conduct business under another name.
To learn more about DBAs in your state, read our How to File a DBA in Alabama guide.
Step 2: Choose a Registered Agent in Alabama
After you find the right name for your LLC, you will need to nominate an Alabama registered agent. This is a necessary step in your Certificate of Formation (i.e., the document used to file and register your LLC with the Secretary of State).
What is a registered agent? A registered agent is an individual or business entity responsible for receiving important tax forms, legal documents, notice of lawsuits, and official government correspondence on behalf of your business. In essence, your registered agent is your business’s primary point of contact with the state.
Who can be a registered agent? A registered agent must be a resident of Alabama or a corporation authorized to transact business in the state. You can choose to elect an individual within the company (e.g., yourself, etc.), use a business attorney, or hire a registered agent service.
Get Free Registered Agent Services
Form an LLC with Northwest Registered Agent to get one year of registered agent services free of charge.
FAQ: Nominating a Registered Agent
Yes. You or anyone else in your company can serve as the registered agent of your Alabama LLC.
Read more about being your own registered agent.
Hiring a professional registered agent service can be a budget-friendly approach to handling your LLC’s government documentation. For a majority of companies, the benefits of using these services greatly outweigh the annual costs they incur.
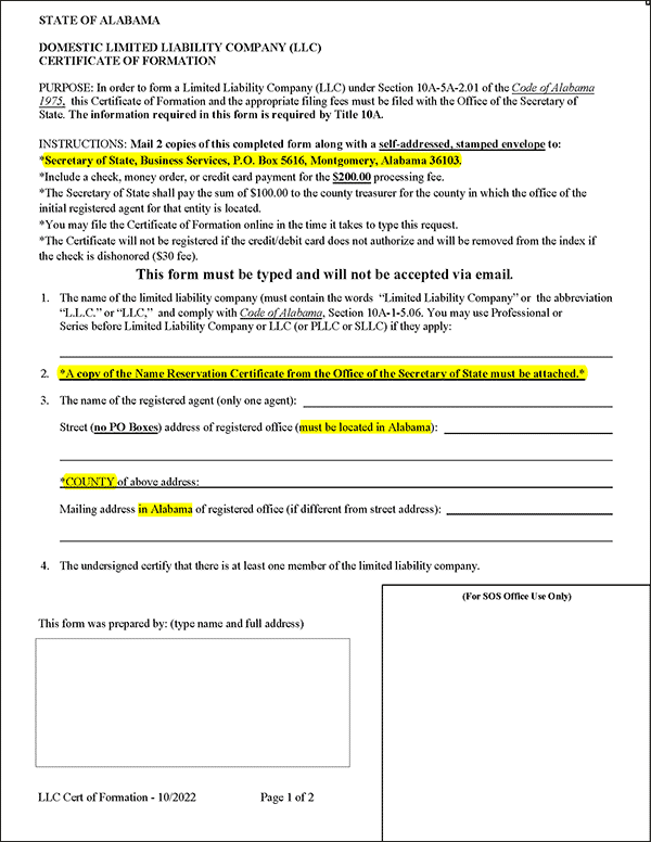
Step 3: File the Alabama LLC Certificate of Formation
To register your LLC in Alabama, you’ll need to reserve your LLC name and file the Certificate of Formation with the Secretary of State. You can do this online or by mail.
Before filing, make sure you have completed your Certificate of Formation correctly. You will need to have filled in the following sections:
- The name of your LLC
- A copy of your name reservation certificate (if filing by mail)
- The name and address of your LLC’s registered agent
- The mailing address of the registered office (if different from street address)
- The date upon which this document will become effective (if not immediately)
- The name and signature of the organizer
File the Alabama Certificate of Formation
OPTION 1: File Online With Alabama Interactive
File Online– OR –
OPTION 2: File by Mail
Download PDFState Filing Cost: $200
Mailing Address:
Secretary of State
Business Services
P.O. Box 5616
Montgomery, AL 36103-5616.
For help with completing the form, visit our Alabama Certificate of Formation guide.
If you’re expanding your existing business to the state of Alabama, you’ll need to register as a foreign limited liability company (LLC).
FAQ: Filing Alabama LLC Documents
Your LLC’s Certificate of Formation will typically be processed within 10 business days if filed online or by mail. However, you can pay a $100 expedited filing fee to have this document processed within three business days.
An LLC is referred to as a “domestic LLC” when it conducts business in the state where it was formed. Normally when we refer to an LLC we are actually referring to a domestic LLC. A foreign LLC must be formed when an existing LLC wishes to expand its business to another state.
The cost to start an LLC in Alabama is $200.
To learn more, read our guide on the cost to form an Alabama LLC.
Step 4: Create Your Alabama LLC Operating Agreement
An operating agreement, known in Alabama as a limited liability company agreement, isn’t required for Alabama LLCs, but it’s a good practice to have one.
An operating agreement is a legal document outlining the ownership and operating procedures of an LLC.
A comprehensive operating agreement ensures that all LLC members are on the same page and reduces the risk of future conflict.
You can use the free tool in our Business Center to create a custom operating agreement in minutes — or download our free templates:
FAQ: Creating an Alabama LLC Operating Agreement
No. The operating agreement is an internal document that you should keep on file for future reference. However, many other states do legally require LLCs to have an operating agreement in place.
Step 5: Get an Alabama LLC EIN
You can get an Employer Identification Number (EIN) from the IRS for free. It is used to identify business entities and keep track of a business’s tax reporting. It is essentially a Social Security number (SSN) for the company.
Why do I need an EIN? An EIN is required for the following:
- To open a business bank account for the company
- For federal and state tax purposes
- To hire employees for the company
Where do I get an EIN? An EIN is obtained from the IRS (free of charge) by the business owner after forming the company. This can be done online or by mail.
FOR INTERNATIONAL APPLICANTS: You do not need an SSN to get an EIN. Learn more here.
Get an EIN
Option 1: Request an EIN from the IRS
– OR –
Option 2: Apply for an EIN by Mail or Fax
Mail to:
Internal Revenue Service
Attn: EIN Operation
Cincinnati, OH 45999
Fax: (855) 641-6935
Fee: Free
FAQ: Getting an EIN
A Social Security number is not required to get an EIN. You can simply fill out IRS Form SS-4 and leave section 7b blank. Then call the IRS at (267) 941-1099 to complete your application.
All LLCs with employees or businesses with multiple LLC members must have an EIN. This is required by the IRS.
Learn why we recommend always getting an EIN and how to get one for free in our Do I Need an EIN for an LLC guide.
When you get an EIN, you will be informed of the different tax classification options that are available. Most LLCs elect the default tax status.
However, some LLCs can reduce their federal tax obligation by choosing the S corporation (S corp) status. To learn more, read our LLC vs. S Corp guide.
Step 6: File Your Initial Business Privilege Tax Return
In Alabama, all LLCs are required to file their Initial Business Privilege Tax (BPT) return within 2.5 months of formation.
You can complete this filing online using the Alabama Department of Revenue website or by mail using Form BPT-IN. The minimum fee is $50 but may increase depending on federable taxable income and net worth.
You will be required to file a BPT return and pay the business privilege tax yearly by April 15th.
Best LLC Services in Alabama Compared
| Service | Total Cost* | Filing | Registered Agent | EIN | Operating Agreement |
|---|---|---|---|---|---|
|
Northwest
TOP PICK
25% TRUiC Discount
|
$279 | $29 | Free 1st Year $125/yr after | $50 | Free |
|
Tailor Brands
35% TRUiC Discount
|
$527 | $0 | $199/yr | $99 | $29 |
|
ZenBusiness
|
$497 | $0 | $99 1st Year $199/yr after | $99 | $99 |
|
LegalZoom
|
$627 | $0 | $249/yr | $79 | $99 |
For a comprehensive comparison, read our Best LLC Service review. We reviewed and ranked the top LLC formation services to help you determine the best fit for your new business.
Important Next Steps to Protect Your Alabama LLC
After you’ve formed your LLC, you’ll need to complete key steps in order to:
- Separate your personal and business assets
- Stay compliant with state and federal laws
Get a Business Bank Account & Credit Card
Using a dedicated business banking account and business credit card is essential for personal asset protection.
When your personal and business accounts are mixed, your personal assets (your home, car, and other valuables) are at risk in the event your LLC is sued. In business law, this is referred to as piercing your corporate veil.
You can protect your business with these two steps:
1. Opening a business bank account:
- Separates your personal assets from your company’s assets, which is necessary for personal asset protection.
- Makes accounting and tax filing easier.
2. Getting a business credit card:
- Helps you separate personal and business expenses.
- Builds your company’s credit history, which can be useful to raise capital later on.
Get Insurance
Even though an LLC offers limited liability, you’ll still likely need to purchase some form of business insurance to protect your LLC’s assets. The most common types are:
- General Liability Insurance: A broad insurance policy that protects your business from lawsuits. Most small businesses get general liability insurance.
- Professional Liability Insurance: A business insurance for professional service providers (consultants, accountants, etc.) that covers against claims of malpractice and other business errors.
- Workers’ Compensation Insurance: A type of insurance that provides coverage for employees’ job-related illnesses, injuries, or deaths. In Alabama, businesses with five or more employees, including LLC members and corporate officers, are required by law to have workers compensation insurance.
What This Means:
Without insurance: If someone sues your bakery for $40,000, they could take your commercial mixer and empty your business account ($25,000 total), but won’t be able to touch your house or personal savings.
With insurance: Your business liability policy could cover the $40,000 claim, meaning that both your personal and business assets would remain untouched.
That’s why many small business owners turn to providers like Next Insurance for affordable, tailored coverage. Get a free quote today.
Want to learn exactly what coverage your Alabama business may need? Read our full Alabama Business Insurance Guide.
Get a Business Privilege License
In Alabama, all businesses are required to purchase a business privilege license. You must purchase a license in every county where you do business. Licenses can be purchased from the local county probate judge.
Get a Business Privilege License
Find Your County to Get an Alabama Business Privilege License
View DirectoryFee: Varies by county
If you’d rather have a service handle this step for you, we recommend checking out LegalZoom’s Business License service.
Pay Alabama LLC Taxes
Your Alabama LLC will have several key tax obligations:
Federal LLC Tax Requirements
As a pass-through entity, profits typically flow to your personal tax return. LLC members pay self-employment tax (15.3%) on their earnings.
Business Privilege Tax
As mentioned above, your LLC will be required to file a BPT return and annual report annually. The deadline for filing these documents is April 15th starting the year following your formation.
The minimum cost of this filing is $50 per year. However, depending on your federal taxes and net worth, you may end up owing more.
Income Taxes
This group of taxes describes the fees levied by the state on the income generated by your Alabama LLC. In general, there are two main types of state income taxes for you to be aware of:
- State Personal Income Tax: A gradual tax rate that ranges from 2% to 5% depending on the adjusted gross income (AGI) as well as the taxpayer category of each of your LLC members.
- State Corporate Income Tax: LLCs organized as corporations for federal tax purposes are subject to a flat tax rate of 6.5% on the total taxable income they earn from business operations within Alabama.
Your LLC can use the My Alabama Taxes (MAT) online platform to file its returns or file by mail.
Employer Taxes
If you have, or plan to have, employees in Alabama you will need to submit Withholding Tax, also known as payroll taxes.
These are a group of taxes that you are required to withhold from employee paychecks and submit to government entities such as the Alabama Department of Revenue.
You can use the My Alabama Taxes (MAT) portal to complete these filings.
Sales and Use Tax
If you’re selling a physical product, you’ll typically need to register for a seller’s permit online using the My Alabama Taxes (MAT) portal.
This permit allows you to collect sales tax, also known as sales and use tax, on applicable sales. Sales tax in Alabama is set at a base rate of 4%, however, local jurisdictions are also able to impose their rates up to 7%.
Read our Alabama sales tax guide to find out more.
Need personalized help? Schedule a free consultation with 1-800Accountant to get expert guidance from CPAs who specialize in small business taxes.
